受託加工 CONTRACT PROCESSING
100kgの少量生産、20tクラスの大量生産まで、目的に応じてフレキシブルに対応します。
プラント PLANT
高品質、低コスト、短納期のプラント建設で、お客様の構想を具現化。当社独自技術を中心にその周辺技術を展開します。
実機テストのご案内 INFORMATION ON ACTUAL MACHINE TEST
当社の機器で実際にテストができます。 小型機から大型機まで取り揃えており、 処理量に合わせたテストが可能です。
- 充実の実機ラインナップ
- 立ち合いテスト可能
- Webテスト可能
カタログ
ダウンロード
CATALOG DOWNLOAD
技術情報 TECHNICAL INFORMATION
1パス処理や高粘度処理に最適なマルチパス方式を新開発!
ビーズミルの常識を超越した湿式連続型ビーズミル
「MYミル」は半世紀にわたり活躍する湿式微粉砕機「アトライタ」のノウハウを生かして開発した横型ミルで、1パス処理に特化したビーズミルです。処理物や粉砕条件にきめ細かく対応して粉砕・分散の”最適性”を徹底追及しました。マルチパス方式を採用しており、ビーズの偏りを防止することが出来ます。これにより高粘度のスラリでも問題無く処理することが可能です。連続運転による高品質かつ高生産性の粉砕・分散処理を実現しました。
MY10型
主な特長 FEATURE
-

マルチパス方式は、ビーズの循環流を各ロータで発生させ、1パスでも粉砕機が複数並んでいるような効果を生み出します。
-

φ0.1~3mmのビーズを80~90%の高い充填率で運転が可能ですので、1パス処理でも高効率で処理します。
-

マルチパス方式を採用している為、高粘度処理でもミル内圧の上昇やビーズの偏りを抑え、確実な粉砕処理が可能です。
-

リングセパレータは、タンクを開放せずに交換が可能です。
スクリーンの整備は簡単にできます。
その他の特長
- ウレタン、樹脂対応
- セラミックス対応
- 低騒音
- 循環方式対応
- マルチパス方式
- 分解・洗浄が容易
素材例 MATERIAL EXAMPLE
-

電子部品
アルミナ、チタン酸バリウム、ITO、PZT、シリコン、カーボンナノチューブ、フェライト、ジルコニア
-

インク・塗料
レジストインキ、顔料、塗料、グラビアインキ、オフセットインキ
-

その他
農薬、電池材料、酸化物、二酸化チタン、炭酸カルシウム、製紙
処理例 PROCESSING EXAMPLE
-
粉砕例
図1はMY10型により約50kg/hで処理した場合、D50=5µmの炭酸カルシウム原料をD50=0.7µmにすることができることを示しています。
図2はボール径を小さくすることにより粉砕性能を飛躍的に向上させることができ、到達粒度も小さくなります。
-
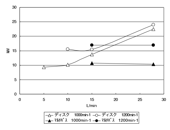
マルチパス方式の効果
5000~10000mPaSの炭酸カルシウムのスラリを使って流量の影響を確認しました。ディスクタイプのロータは、処理量が増えるとモータの動力が上がっていきます。これはビーズが偏ってしまったことを示しています。マルチパス方式であれば、ビーズの偏りが無く運転することが可能です。
-
高粘度処理での実施例
マルチパス方式を使えば、オフセットインキのような高粘度処理物でも対応ができます。
処理物:オフセットインキ
到達粒径:15µm以下
処理量:150~200kg/h(MY15型)
-
その他の処理例
処理物 原料粒径(μm) 到達粒径(μm) 処理能力(kg/hr) 型式 重質炭酸カルシウム 45 5-6 3,200 MY300P 農薬 2.27 1.5 1,800 MY25P セラミックス 2-3 0.5 53 MYA5 無機酸化物 1.7 1.4-1.5 2m 3 MY25D インキ ー 2 250 MY15SC 無機物 ー 0.4 4800 MY10SC ※原料粒径および到達粒径はd50値となります。
生産能力 PRODUCTION CAPACITY
-
実験、少量生産用
- MY3
- MY5
少量サンプル作りに対応
設置スペースが小さいため、実験室での運転に最適です。 -
中規模生産用
- MY10~MY50
中規模生産に対応
MY10型よりスケールアップの基礎データをとることができます。 -
大量生産用
- MY100~MY300
大量生産に対応
大量処理が必要な炭酸カルシウムの粉砕などに使われます。
-

処理量の目安
左の図はMY10型で運転したときに、素材50kgを1時間で処理できた場合、大型機へスケールアップしたときの処理量の目安です。 L/D(タンク長さ/タンク径)が長い「MYミル」は大型機になると、効率が「SCミル」や「MSCミル」に比べ、落ちます。これはL/Dが長いビーズミルはビーズの偏りが発生しやすいことから能力を落として運転することが多いためです。そのため循環処理に関しては、「SCミル」や「MSCミル」などをお薦めします。 L/Dの長い「MYミル」は1パス処理で効果を発揮します。
構造 STRUCTURE
-
マルチパス方式
SCロータを使ったマルチパス方式はビーズの循環流を各ロータで発生させ、完全混合状態を作り出します。あたかも粉砕機が複数並んでいるような効果でショートパスを防止し、エネルギ分布もシャープになります。また、撹拌ロータが生み出す循環流は非常に強力なため、スラリーの流れの影響が小さくなります。これによって排出口付近で起こりがちなビーズの偏りを抑制し、シャープなエネルギー分布を作り出しています。
-
スクリーンの交換は簡単です
スクリーンタイプのビーズミルは、スクリーンに粗粒などが詰まると、運転が出来なくなります。そのため、横型ミルのスクリーン交換は、タンクを開放して交換するのが一般的です。スクリーンの交換には、ビーズをすべて取り除く必要があるので多くの時間と労力が掛かります。当社の「MYミル」はスクリーンにビーズが密集しないので、スクリーンを小さくすることができます。その結果、タンクカバーから簡単にスクリーンを取り外せます。出てくるビーズは1~2割程度ですので、スクリーンを交換した後に直ぐに復旧が可能です。
当社比ですがタンク開放方式に比べ、約1/3の時間で復旧が可能になりました。 -
マルチパスの効果
ラインナップ LINEUP
-
型式 粉砕タンク 容量
[L]標準ビーズ量
[L]処理量
[L/h]モータ出力
[kW]回転速度
[min-1]質量
[kg]MY3 3 2.1 6-60 5.5 2,500 450 MY5 5 3.5 10-100 7.5 2,100 550 MY10 10 6.6 20-200 22 1,580 1,000 MY15 15 10.5 30-300 37 1,380 1,200 MY25 25 17.5 45-450 45 1,150 1,600 MY50 50 35 90-900 90 880 2,000 MY100 100 70 200-1,800 150 690 4,000 MY300 300 210 600-5,400 240 480 9,000






